XML 1.0 Sintaxes representadas por Diagrama Sintático - Diagrama de Sintaxe gerados a partir de BNF .
1. xmlDiagrama Sintático - Diagrama de Sintaxe XML xml
2. prologDiagrama Sintático - Diagrama de Sintaxe XML prolog
3. elementDiagrama Sintático - Diagrama de Sintaxe XML element
4. CommentDiagrama Sintático - Diagrama de Sintaxe XML CommentChar_: qualquer caracter exceto '-'
5. XMLDeclDiagrama Sintático - Diagrama de Sintaxe XML XMLDecl
6. doctypedeclDiagrama Sintático - Diagrama de Sintaxe XML XMLDecl
7. EmptyElementTagDiagrama Sintático - Diagrama de Sintaxe XML EmptyElementTag
8. stagDiagrama Sintático - Diagrama de Sintaxe XML stag
9. contentDiagrama Sintático - Diagrama de Sintaxe XML content
10. VersionInfoDiagrama Sintático - Diagrama de Sintaxe XML VersionInfo
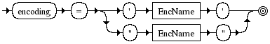
11. EncodingDeclDiagrama Sintático - Diagrama de Sintaxe XML EncodingDecl
12. SDDeclDiagrama Sintático - Diagrama de Sintaxe XML SDDecl
13. ExternalIDDiagrama Sintático - Diagrama de Sintaxe XML ExternalID
14. intSubsetDiagrama Sintático - Diagrama de Sintaxe XML intSubset
15. AttributeDiagrama Sintático - Diagrama de Sintaxe XML Attribute
16. ReferenceDiagrama Sintático - Diagrama de Sintaxe XML Reference
17. markupdeclDiagrama Sintático - Diagrama de Sintaxe XML markupdecl
18. DeclSepDiagrama Sintático - Diagrama de Sintaxe XML DeclSep
19. EntityRefDiagrama Sintático - Diagrama de Sintaxe XML EntityRef
20. elementdeclDiagrama Sintático - Diagrama de Sintaxe XML elementdecl
21. AttlistDeclDiagrama Sintático - Diagrama de Sintaxe XML AttlistDecl
22. EntityDeclDiagrama Sintático - Diagrama de Sintaxe XML EntityDecl
23. NotationDeclDiagrama Sintático - Diagrama de Sintaxe XML NotationDecl
24. PEReferenceDiagrama Sintático - Diagrama de Sintaxe XML PEReference
25. contentspecDiagrama Sintático - Diagrama de Sintaxe XML contentspec
26. AttDefDiagrama Sintático - Diagrama de Sintaxe XML AttDef
27. GEDeclDiagrama Sintático - Diagrama de Sintaxe XML GEDecl
28. PEDeclDiagrama Sintático - Diagrama de Sintaxe XML PEDecl
29. MixedDiagrama Sintático - Diagrama de Sintaxe XML Mixed
30. childrenDiagrama Sintático - Diagrama de Sintaxe XML children
31. AttTypeDiagrama Sintático - Diagrama de Sintaxe XML AttType
32. DefaultDeclDiagrama Sintático - Diagrama de Sintaxe XML DefaultDecl
33. EntityDefDiagrama Sintático - Diagrama de Sintaxe XML EntityDef
34. PEDefDiagrama Sintático - Diagrama de Sintaxe XML PEDef
35. choiceDiagrama Sintático - Diagrama de Sintaxe XML choice
36. seqDiagrama Sintático - Diagrama de Sintaxe XML seq
37. EntityValueDiagrama Sintático - Diagrama de Sintaxe XML EntityValue
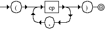
38. cpDiagrama Sintático - Diagrama de Sintaxe XML cp
39. extSubsetDiagrama Sintático - Diagrama de Sintaxe XML extSubset
40. TextDeclDiagrama Sintático - Diagrama de Sintaxe XML TextDecl
41. extSubsetDeclDiagrama Sintático - Diagrama de Sintaxe XML extSubsetDecl
42. conditionalSectDiagrama Sintático - Diagrama de Sintaxe XML conditionalSect
43. ignoreSectContentsDiagrama Sintático - Diagrama de Sintaxe XML XmlignoreSectContents
44. IgnoreDiagrama Sintático - Diagrama de Sintaxe XML Ignore
45. extParsedEntDiagrama Sintático - Diagrama de Sintaxe XML extParsedEnt
46. symbolDiagrama Sintático - Diagrama de Sintaxe XML symbol
47. CharRefDiagrama Sintático - Diagrama de Sintaxe XML CharRef
48. VersionNumDiagrama Sintático - Diagrama de Sintaxe XML VersionNum
49. EncNameDiagrama Sintático - Diagrama de Sintaxe XML EncName
Arquivo origem: Xml.xml. Diagramas Sintáticos gerados a partir de BNF pelo componente BNF -> Diagrama Sintático.
XML 1.0 {49} xml prolog element Comment XMLDecl doctypedecl EmptyElementTag stag content VersionInfo EncodingDecl SDDecl ExternalID intSubset Attribute Reference markupdecl DeclSep EntityRef elementdecl AttlistDecl EntityDecl NotationDecl PEReference contentspec AttDef GEDecl PEDecl Mixed children AttType DefaultDecl EntityDef PEDef choice seq EntityValue cp extSubset TextDecl extSubsetDecl conditionalSect ignoreSectContents Ignore extParsedEnt symbol CharRef VersionNum EncName
Índice Local {9}
Projeto Apoie {6} Projeto Apoie Projeto PAS Serviço Web Relacionamentos entre Personagens
Base de Conhecimento {5} Conhecimento Dado Informação consolidada Página Pronta - site apoie.org Pulo do Gato
Contato Projeto Apoie
Linguagem {5}
Javascript {3} Referências e Ferramentas Sintaxe Cheat Sheet
Erlang Quick Sort
LDC {2} LDC LDC - Sintaxe
Definição {9} Erlang Python 3.0 Ruby 1.9.1 - Sintaxe Ruby 1.9.1 - Léxico Shell Lua PHP XML Lazy BNF
If
Dojo {4} Coding Dojo Coding Dojo - Formatos
Soluções Coding Dojo {6} Dojo #34: Expressão Aritmética Dojo #33: Impedimento Dojo #32: Sequência Numérica Dojo #31: Tráfego Dojo #29: Boliche Dojo #28: Jogo da Vida
Dojo Rio
Qualidade {2}
5W {3} 5W2H 5W1H 5W2H - 5W1H - Modelo
PDCA
Componente {5} Componente ExibirLinguagem.htm Gerar Páginas Lista Tabela de Decisões
Paletas {10} Paleta - Mais utilizadas Paleta - Apoie Paleta - Apresentação e Componentes Paleta - Diagramas Paleta - Diagrama Sintático Paleta - Dojo Paleta - Logos Paleta - Projetos Paleta - Setas Paleta - Tecnologia
Evento {4} Pendência Estados de Componentes Scrum Prioridade
Método {5} Oficina Serviço Web Warnier/Orr Basics Apresentar Problema Resolvido Simples x Complexo
Imposto de Renda