Ruby 1.9.1 - Sintaxe Sintaxes representadas por Diagrama Sintático - Diagrama de Sintaxe gerados a partir de BNF e Guia de visualização rápida em HTML e PDF.
1. program Diagrama Sintático - Diagrama de Sintaxe Ruby program
2. compstmt Diagrama Sintático - Diagrama de Sintaxe Ruby compstmt
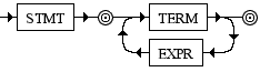
3. stmt Diagrama Sintático - Diagrama de Sintaxe Ruby stmt
4. block Diagrama Sintático - Diagrama de Sintaxe Ruby block
5. expr Diagrama Sintático - Diagrama de Sintaxe Ruby expr
6. call Diagrama Sintático - Diagrama de Sintaxe Ruby call
7. command Diagrama Sintático - Diagrama de Sintaxe Ruby command
8. function Diagrama Sintático - Diagrama de Sintaxe Ruby function
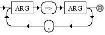
9. arg Diagrama Sintático - Diagrama de Sintaxe Ruby arg
10. primary Diagrama Sintático - Diagrama de Sintaxe Ruby primary
11. If Diagrama Sintático - Diagrama de Sintaxe Ruby If
12. when_args Diagrama Sintático - Diagrama de Sintaxe Ruby when_args
13. then Diagrama Sintático - Diagrama de Sintaxe Ruby then
14. do Diagrama Sintático - Diagrama de Sintaxe Ruby do
15. block_var Diagrama Sintático - Diagrama de Sintaxe Ruby block_var
16. mlhs Diagrama Sintático - Diagrama de Sintaxe Ruby mlhs
17. mlhs_item Diagrama Sintático - Diagrama de Sintaxe Ruby mlhs_item
18. lhs Diagrama Sintático - Diagrama de Sintaxe Ruby lhs
19. mrhs Diagrama Sintático - Diagrama de Sintaxe Ruby mrhs
20. call_args Diagrama Sintático - Diagrama de Sintaxe Ruby call_args
21. args Diagrama Sintático - Diagrama de Sintaxe Ruby args
22. argdecl Diagrama Sintático - Diagrama de Sintaxe Ruby argdecl
23. arglist Diagrama Sintático - Diagrama de Sintaxe Ruby arglist
24. singleton Diagrama Sintático - Diagrama de Sintaxe Ruby singleton
25. assocs Diagrama Sintático - Diagrama de Sintaxe Ruby assocs
26. variable Diagrama Sintático - Diagrama de Sintaxe Ruby variable
27. literal Diagrama Sintático - Diagrama de Sintaxe Ruby literal
28. string Diagrama Sintático - Diagrama de Sintaxe Ruby string
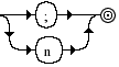
29. term Diagrama Sintático - Diagrama de Sintaxe Ruby term
Arquivo origem: Ruby191.xml. Diagramas Sintáticos gerados a partir de BNF pelo componente BNF -> Diagrama Sintático.