Participe | Índice

Apoie.org - 5W2H,Componente,Conjunto, Diagrama Sintático, Gerenciador de Eventos,LDC, Linguagem, PAI, Modelo de Gestão, Rede de Negócios, Sistema Financeiro, Thin Client,Tópico

Para melhor busca utilizar palavras
e expressões constantes do Thesaurus.
Projeto
Componente de programação Abordagem Ações envolvidas Fábrica de Componentes Lista Necessários Site Tabela de Decisões Níveis de detalhamento
Exemplos BNF > Diagrama Sintático - Diagrama de Sintaxe Gerar Páginas Simplificar Sequência Transformar Autômato Finito em Diagrama Sintático
Conhecimento Atualizar Compatibilizar Redes Eventos Interface Perfil Preservação do Conhecimento Coletivo
Dado Alterar Autorizados Camadas Conferir Funções Modelar Ver

Informação Acesso Estados de Componentes História (coleção de notícias) Informação Informação consolidada LogRegistro
Conjunto Editar Exibir Formas de apresentação - árvore e tabela Visão
Dojo Formatos Dojo Rio #34 ExpressaoAritmetica 33 Impedimento #32 Sequência Numérica #31 Tráfego #29 Boliche #28 Jogo da Vida
Exemplos 5W2H Ações Camada de Dados Componente Conjunto Evento Informação consolidada LazyBNF - Exemplos v.1 LazyBNF - Exemplos v.2 LDC LDC - Exemplos - Obra Parceiros Tópico Tópico Float
Evento
Curso de XML ExibirLinguagem.htm Páginas sobre XML Sintaxe de XML
Gerenciador Comparativo entre Gerenciadores Diferencial1 Diferencial2 Método
Relatório Relatório Relatório - Fieldset Relatório - Tabela
Pendência Avaliação Evento Lista Procedimento
Prioridade Critérios Objetivos Critérios Subjetivos Distribuição Normal GUT
Linguagem CSV Javascript Lazy BNF LDC Lua PHP Python3.0 Shell XML
LDC Entradas, Saídas, Expressão, Operadores Exemplo Vantagens Variável
Shell Exemplo Programação Shell Linux - livro completo (e mais) do Júlio Neves
Sintaxe Algoritmo Expressão Regular - Diagrama Sintático -... Fábrica de algoritmos Representação de Sintaxe Sequência de execução de Ações
Diagrama Sintático Convenções Diagrama de Eventos No aprendizado e na consulta Outros Diagramas Sintáticos - Diagramas de Sintaxe
Método Assincronia de Desenvolvimento e Alterações Brainstorming - Componentes - Oficina - Tópico Consultar - como funciona Consultar - como funciona - detalhe Diferencial Diretriz Elementos Existentes Método Ágil e Simples Metodologia Ágil Modelar dados Modelo - Diferencial Paradigmas Pulo do Gato Simples x Complexo Usabilidade
Modelo de GestãoDiagrama Personagens, ações e relacionamentos
Padrão Hipertexto W3C Warnier/Orr Web 2.0
Programas Editores de Imagem Ferramentas Web 2.0 JFLAP Salvar Arquivos
PAI Aprender Impactos Sócio-econômicos Introdução Justificativa Metas Objetivos Pesquisar Personagens e Relacionamentos Produzir + Aprender + Pesquisar Projeto Apoie Serviço Web
Apoio
Formas e Níveis de atendimento Oficina Hotel de empresas
Tipos
Jurídico
Contrato Datas Personagens Valores
Qualidade Avaliar Produtos e Serviços Certificação GUT Padrão
5W2H5W1H Evento Exemplos ExibirLinguagem.htm Gerenciador Gerenciador de Eventos Modelo Oficina Página Internet PAI Projeto Festa Tópico Visões de execução de um serviço
PDCA - Ciclo de Deming Act Check DoPlan
Tecnologia Operação e suporte Software Livre
Vendas e Marketing
Comercializar Arquitetura de Produtos e Serviços Arquitetura de Soluções Distribuir Fazer sistemas Marketing Mix Objetivo Organizar
Divulgar Custos para Divulgar
Parceiros
Tecnocoop Sistemas Histórico OpenBase - Clientes Produtos e Serviços Rescue - Clientes
Personagens Cliente Final Contrato Cliente x Empreendedor Profissional Empreendedor
Projeto Como montar um Projeto Gerenciamento de Projeto (PMI)
Recursos Atestado Técnico Infra-estrutura Material de Apoio
Recursos Humanos Avaliar Competência Avaliar Inteligência Cultura Currículos Experiência Vantagens coletivas
Rede de Negócios Administrar Análise Estratégica Componentes Gestão de redes Plano de Marketing Plano de negócios Rede de Componentes Redes com Informações Consolidadas Tipo de Negócio
Captar negócio Forma da captação Informações sobre o Mercado Mercado Sistema de Relacionamento
Executar negócio
Recursos Financeiros Controlar Contas Controlar Documentos Corrigir x Estornar Datas de Lançamento Fechamentos Lançamentos Possíveis Lançar Limites de valores Níveis de visão de relatório Otimizar
SisFin Descrição Emitir relatórios a partir de consultas
Elementos específicos Consulta Conta / departamento / centro de resultado Histórico Lançamento Relatório Relatório - Colocar em evidência Relatório - Representar
Gerenciador Consulta Lançamentos Bancos Consulta Histórico por mês Consulta Lançamentos CEF Consulta Saldo Banco Mapa do Site Página Inicial Relatório Histórico por mês Relatório Lançamentos Banco Relatório Lançamentos CEF Relatório Saldo Bancos
Thin Client Benefícios Características Equipamento Modelo
Aplicações Comércio e Lazer Contact Center Educação e Cultura Financeiro Governo Inclusão Digital Indústria Saúde Telecomunicações
Telecentro Componentes
Tópico 5W2H Ações Busca Como organizar Dados Dados Gerais Elementos Exibir Filtro Imagem Modelo Modelo - arrazoado Rede Relacionamentos Tag Sintaxe Tabela Texto Tipos Visão Aplicações Visões Visualizar
Exemplos Documento Empresa Evento Função Personalidade Pessoa Produto / Serviço Projeto
Nuvem de Tópicos Apresentação Características exibidas entre elementos e/ou conjuntos Componentes da sintaxe Referências
Página Caminho de Navegação Contato Meta tag - Keywords Navegação Otimizar para Sistemas de Busca
Gerar Página Criar arquivo .xml Descrever Linguagem Incluir Diagramas Sintáticos - Diagramas de Sintaxe
Índice Ambiguidade Criar Índice Descritor Entradas no Índice (Thesaurus) Links
Modelos Minuta - Cabeçalho - Tópico Minuta de Elemento Índice Página Internet Página Pronta
Idéias e conceitos 3 Níveis  Carro Híbrido Competição + Torneio + Campeonato  Divisória com Múltiplas Funções Empréstimo para aquisição de bens Utilização do espaço urbano
Imposto de Renda Desconto Pessoal Sinais Exteriores de Riqueza
Imagens
Paletas Mais utilizadas Apoie Apresentação e Componentes Diagramas Diagrama Sintático Dojo Logos Projetos Setas Tecnologias
Diagramas Sintáticos
Diagrama Sintático Javascript
Diagrama Sintático - Diagrama de Sintaxe Lazy BNF
Diagrama Sintático - Diagrama de Sintaxe LDC
Diagrama Sintático - Diagrama de Sintaxe Lua
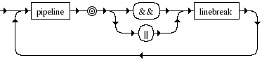
Diagrama Sintático - Diagrama de Sintaxe Lua lua
lua
Diagrama Sintático - Diagrama de Sintaxe Lua var
var
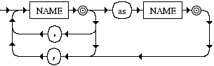
Diagrama Sintático - Diagrama de Sintaxe Lua exp
exp
Diagrama Sintático - Diagrama de Sintaxe PHP
Diagrama Sintático - Diagrama de Sintaxe PHP If
If
Diagrama Sintático - Diagrama de Sintaxe PHP Do
Do
Diagrama Sintático - Diagrama de Sintaxe PHP For
For
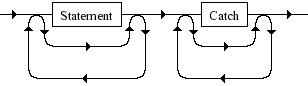
Diagrama Sintático - Diagrama de Sintaxe PHP Try
Try
Diagrama Sintático - Diagrama de Sintaxe PHP New
New
Diagrama Sintático - Diagrama de Sintaxe Python3.0
Diagrama Sintático - Diagrama de Sintaxe Shell
Diagrama Sintático - Diagrama de Sintaxe XML
Diagrama Sintático - Diagrama de Sintaxe XML xml
xml
Diagrama Sintático - Diagrama de Sintaxe XML seq
seq
Diagrama Sintático - Diagrama de Sintaxe XML cp
cp