Ruby 1.9.1 - Léxico Sintaxes representadas por Diagrama Sintático - Diagrama de Sintaxe gerados a partir de BNF e Guia de visualização rápida em HTML e PDF
1. symbol Diagrama Sintático - Diagrama de Sintaxe Ruby symbol
2. fname Diagrama Sintático - Diagrama de Sintaxe Ruby fname
3. operation Diagrama Sintático - Diagrama de Sintaxe Ruby operation
4. varname Diagrama Sintático - Diagrama de Sintaxe Ruby varname
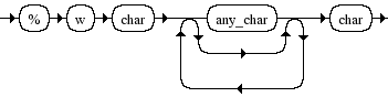
5. global Diagrama Sintático - Diagrama de Sintaxe Ruby global
6. literal_string Diagrama Sintático - Diagrama de Sintaxe Ruby literal_string
7. here_doc Diagrama Sintático - Diagrama de Sintaxe Ruby here_doc
8. words Diagrama Sintático - Diagrama de Sintaxe Ruby words
9. regexp Diagrama Sintático - Diagrama de Sintaxe Ruby regexp
Arquivo origem: Ruby191Lexico.xml. Diagramas Sintáticos gerados a partir de BNF pelo componente BNF -> Diagrama Sintático.