M1 informa conta | cx(humano) do banco? | | |
|
| 1 1 |
|
| 1 0 |
|
| 0 0 |
|
| 0 1 |
|

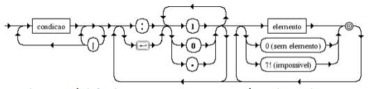
| Símbolo utilizado nas regras |
Tipos de condições e respostas possíveis | ||
| resposta a pergunta |
expressão lógica | expressão aritmética | |
| 1 | sim | Verdadeiro | diferente de 0 (zero) |
| 0 | não | Falso | igual a 0 (zero) |
| . | Condição é irrelevante | ||